界面是指两种具有不同性质的相之间的边界,其性质的精确表征在解释自然现象和改造人类社会过程中值得关注。
界面是指两种具有不同性质的相之间的边界。严格来说,两相之间的边界并非一个简单的二维界面,而是一个相互渗透、性质逐渐变化的三维界面区。尽管界面层的厚度通常只有几纳米,但它在实际中呈现出复杂的三维结构。与体相不同,界面处的物质具有独特的物理化学特性,这些界面性质决定了界面上各类分子和原子的行为,进而影响系统的整体性能。
界面性质在自然界和日常生活中都扮演着重要角色。植物根茎内的导管可以看作极细的毛细管,由于界面相互作用,植物能够通过根茎吸收土壤中的水和养分。一些植物和动物为了适应极端环境,发展出了独特的表面特性:例如,荷叶表面具有自清洁特性,使其在沼泽环境中保持清洁。在农业领域,植物表面的润湿性以及液体农药的界面张力会影响农药的使用效率;在油气开采及CCUS过程中,界面张力对油气采收率以及CO2利用封存效率作用显著;在化妆品和药物开发中,界面性质决定了乳化剂的效果;在材料科学中,则影响涂层和胶粘剂的粘附性能。此外,界面性质还在食品加工、环保技术和能源存储等领域起关键作用,直接关系到产品的质量和生产效率。


图1 荷叶表面自清洁能力-荷叶效应(左);CO2在岩石孔隙中(右)(网图)
尽管界面性质在科学研究和工业应用中具有至关重要的作用,其测定过程一直面临着流程不规范、数据不稳定以及结果不一致等挑战。近期,今期六合彩号码
能源研究院章凯强团队提出了一套通过表征动态悬滴精确测量界面性质的标准化实验测量方法,从实验设计、材料准备、仪器校准、数据分析、不确定度分析到常见问题的排查与解析,提供了系统的解决方案。本研究以“Interfacial property determination from dynamic pendant-drop characterizations”为题发表于Nature Protocols(//doi.org/10.1038/s41596-024-01049-0)。
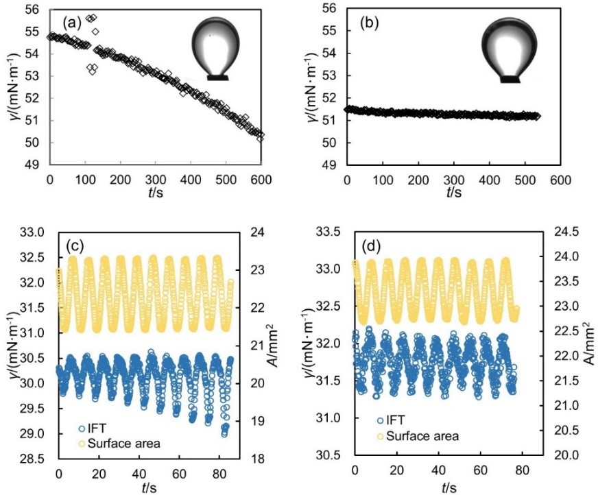
研究团队优化了从样品预处理、仪器改进、实验测量到数据分析的全流程,提供了详细的实验操作指南,涉及液滴控制、系统校准和光学干扰处理等关键步骤。通过对气水两相和气水油三相体系实际测量的有效数据和无效数据的展示和分析,验证了方法的有效性和准确性。整套实验流程可基于不同实际条件在数天内完成。

图2 动态悬滴表征(左图);界面张力及界面流变性实验测量数据(右图)
本研究为界面性质的测定树立了新的标准,通过优化动态悬滴表征方法,极大地提高了测量的可靠性和精度,体现了方法学创新;不仅对界面科学的基础理论发展具有重要推动作用,同时为材料科学、化学工程、环境科学等领域的实际应用提供了技术支撑。
北京大学能源研究院博士后潘子晴博士为第一作者,章凯强研究员为通讯作者,合作者包括英国帝国理工学院J. P. Martin Trusler教授与中国科学院院士、北京大学金之钧教授。本研究得到了国家自然科学基金面上项目、优秀青年科学基金项目(海外)、博士后国际交流计划引进项目和博士后科学基金面上项目以及北京大学鄂尔多斯能源研究院联合资助。
文章信息:
Pan, Z., Trusler, J.P.M., Jin, Z., Zhang, K*. Interfacial property determination from dynamic pendant-drop characterizations. Nature Protocols (2024). //doi.org/10.1038/s41596-024-01049-0.